俳優のリアム・ヘムズワースが8月19日付でシンガーのマイリー・サイラスとの離婚を申請していたことが裁判所に提出された書類により明らかになった。(フロントロウ編集部)
リアムがマイリーに「三行半」
10年におよぶ交際を実らせて2018年末に結婚しながらも、夫婦生活8ヵ月にして破局を発表したマイリー・サイラスとヘムズ・ワースの“スピード離婚”騒動に進展が見られた。
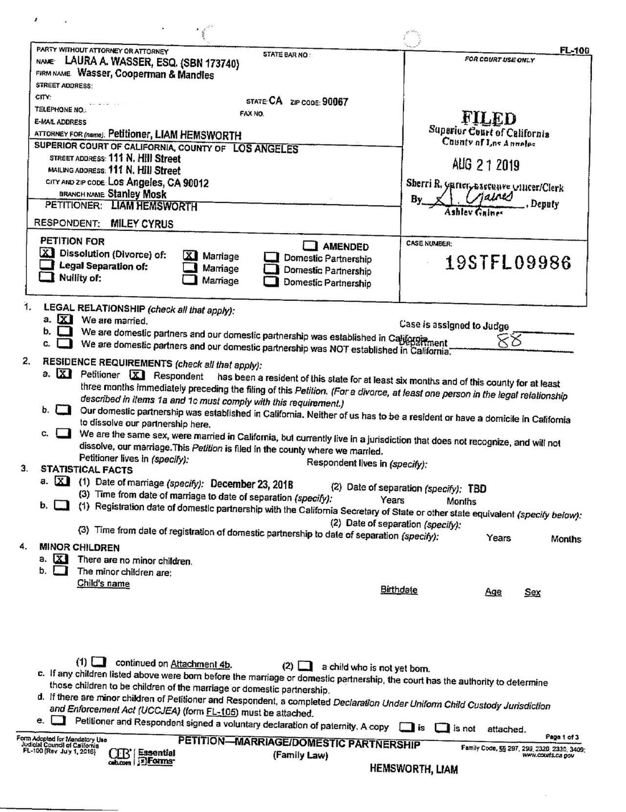
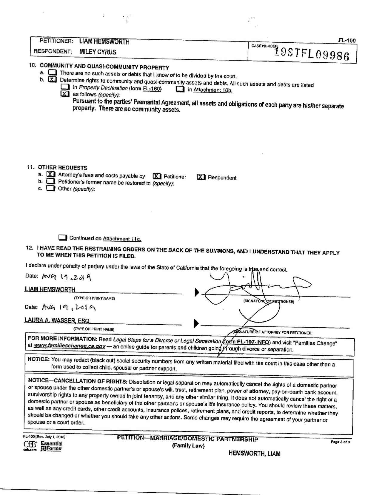
現地時間の8月19日付で、リアムがロサンゼルスの裁判所にマイリーとの離婚申請書類を提出。フロントロウはリアムと彼の弁護士によって署名された申請書類を入手した。



リアムが提出した離婚申請書類。
申請書の「原告(Petitioner)」の欄にはリアムの名、そして「被告(Respondent)」の欄にはマイリーの名が。離婚の理由を問う項目では、「和解しがたい不和」の欄にチェックがつけられている。
リアム側の弁護人を務めるのは、アンジェリーナ・ジョリー&ブラッド・ピットやジョニー・デップ&アンバー・ハードの離婚でも指名されたセレブ御用達敏腕弁護士のローラ・ワッサー。申請書の最後のページには、リアムの署名とともにワッサー弁護士の署名も確認できる。
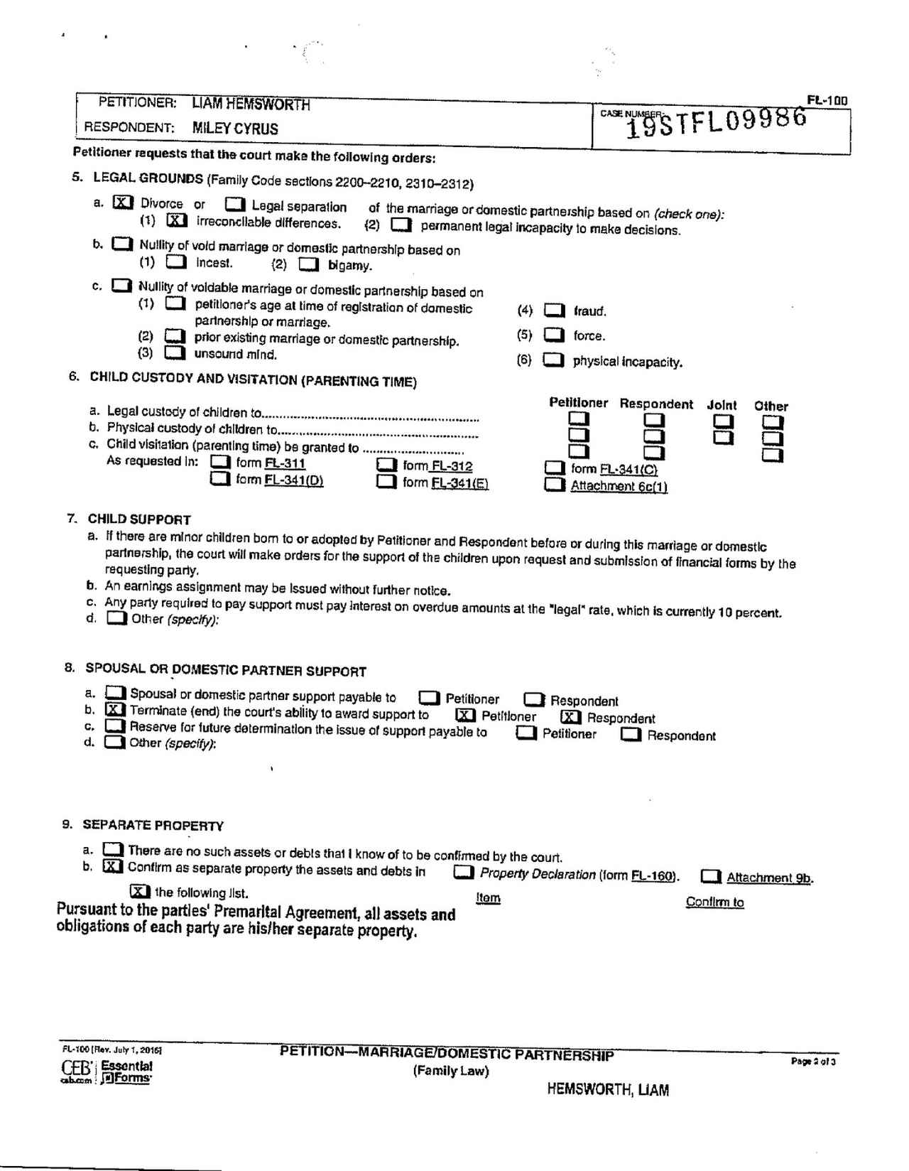
米TMZの報道によると、リアムとマイリーは結婚前に「結婚期間中に得たお互いの収入に関しては分与しない」という財産分与に関するプレナップ(婚前契約)を結んでいたため、金銭的な争いには発展しないとの見込み。さらに2人には子供もいないことから、離婚裁判は極めてスムーズに進むだろうと予想されている。

これまでにも何度も破局・復縁を繰り返してきた経緯から、友人たちは今回も2人がヨリを戻す可能性が高いのではないかと期待していたが、そんな周囲の人々やファンたちの思いも虚しく2人は本当に“スピード離婚”への道を進むこととなった。
マイリーは現在、リアムとの破局発表の直前に休暇先でのキスが激写されたリアリティスターのケイトリン・カーターとのロマンスが過熱中。母親を交えたデートが激写されたり、会員制クラブで人目をはばからずにイチャつく姿などが目撃されるなど、リアムとの関係は“もう終わったもの”として新たな恋に夢中になっている様子。一方のリアムは故郷オーストラリアで家族たちと静かな時を過ごしている。
新曲はリアムを傷つけるために作ったものではない
リアムとの破局から約1週間後、マイリーは彼との関係を連想させる新曲「Slide Away(スライド・アウェイ)」を突如リリース。
歌詞の中には、マイリー側の関係者が離婚の本当の原因であると証言したリアムの“アルコールやドラッグの乱用”を示唆するような一節も含まれているため、マイリーが楽曲を通じてリアムを批判しているのではないかといった憶測も飛び交ったが、この件について関係者は「マイリーはリアムを傷つけようとしているわけではありません」と米Peopleにコメント。
「彼女の楽曲は、具体的な事を話すことなく、彼女の側から見た2人のストーリーを伝えるためのものです。リアムを非難しようとしているわけではなく、あくまでも彼女自身がどんな体験をしてきたかということをシェアするためのものです」と説明している。
関係者いわく、リアムとの関係が破綻したという事実が表沙汰になったことにより、ホッとしているというマイリー。「これで心起きなく自分のことに集中し、前進することができると安心している」という。
リアムとのことを、すでに“過去”と見なしているというマイリーは、もう彼について話すことも少なく、吹っ切れた様子だそう。関係者は、「マイリーは、これが正しい決断だと感じています。マイリーは、リアムも自分もできる限りヘルシーでいることが一番だと願っています」ともコメントしている。(フロントロウ編集部)

















